Yapay zeka dünyasında öne çıkmayı başaran isimlerden Mistral, Arap dili ve kültürüne odaklanan bir yapay zeka modeli yayınladı.
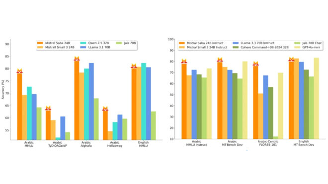
Paris merkezli yapay zeka girişimi Mistral, bugün sürpriz bir adım atarak Mistral Saba isimli modelini kullanıma sundu. Doğrudan Arap dili ve kültürüne odaklanan bu yeni model, 24 milyar parametreye sahip. Özellikle Orta Doğu bölgesindeki kullanıcılara yönelik geliştirilen model, şirketin bölgesel odağa sahip tek çözümü olarak kalmayabilir. Önümüzdeki dönemde farklı bölgeler ve diller için özelleştirilmiş başka büyük dil modelleri (LLM) de kullanıma sunulabilir. Şirket, sunduğu API üzerinden erişilebilen Mistral Saba gibi özelleştirilmiş modeller aracılığıyla, farklı ülkelerden daha fazla yatırım toplama şansı elde edebilir.
İLGİNİZİ ÇEKEBİLİR
Şirket bundan önce Le Chat uygulamasının çıkışıyla gündeme gelmişti. iOS için buradan, Android içinse buradan ücretsiz olarak indirilebilen Mistral Le Chat için Play Store’da yapılan açıklamada şunlar aktarılmıştı: “Le Chat, yaşam ve iş için yapay zeka asistanınızdır. Le Chat’te sorularınıza yanıtlar bulun, görüntüler oluşturun, belgeleri tarayın, haberleri okuyun. Le Chat, dünyayı yeniden keşfetmenize yardımcı olmak için güçlü yapay zekayı web’deki kapsamlı bilgilerle birleştirir. Doğal konuşmaların, gerçek zamanlı internet aramasının, kapsamlı belge analizinin ve çok daha fazlasının keyfini çıkarın. Le Chat, kişisel kullanım için size nefes kesici yapay zeka destekli bir deneyim ve profesyonel ortamlarda büyük bir avantaj sunar. Bugün deneyin ve yaşama ve çalışma şeklinizi geliştirin.” Web sürümüne buradaki bağlantıdan ulaşılabilen Mistral Le Chat, Türkçe dil desteğine de sahip.
Mistral çalışmaları yanında bu da ilginizi çekebilir: Vivo X Flip katlanabilir telefon modeli











